অনুপাত ও সমানুপাত (অধ্যায়-৫) MCQ, সংক্ষিপ্ত, অতি সংক্ষিপ্ত এবং রচনাধর্মী প্রশ্ন উত্তর | Madhyamik Mathematics Suggestion – মাধ্যমিক অঙ্ক / গণিত সাজেশন
বহু বিকল্পভিত্তিক প্রশ্নোত্তর : (মান – 1) Madhyamik Mathematics Suggestion – অনুপাত ও সমানুপাত (অধ্যায়-৫) প্রশ্নউত্তর – মাধ্যমিক অঙ্ক / গণিত সাজেশন
- 9 এবং 25-এর মধ্যসমানুপাতীটি হল
(a) 8 (b) 10 (c) 15 (d) 20
Ans. [c]
- xকিগ্রা ও y গ্রামের অনুপাত হল
(a) 100x:y (b) 1000x:y(c)x:y(d)x:1000y
Ans. [b]
- a : b = 3 : 4 , এবং a – b == 5 হলে জন এ-এর মান হৰে
(a) 118 (b) 125 (c) 130 (d) 135
Ans. [d]
সত্য অথবা মিথ্যা নির্ণয় করো : (মান – 1) Madhyamik Mathematics Suggestion – অনুপাত ও সমানুপাত (অধ্যায়-৫) প্রশ্নউত্তর – মাধ্যমিক অঙ্ক / গণিত সাজেশন
1.দুটি রাশির অনুপাত একটি শুদ্ধ সংখ্যা এবং এর কোনো একক নেই। [T]
2.তিনটি ক্ৰমিক সমানুপাতী ধনাত্মক সংখ্যার গুণফল 27 হলে মধ্য সমানুপাতীটি হবে 9। [F]
- 2a = 3b = 4c হলে a : b : c = 6 = 4 = 3 [T]
- a : b = 2 : 3 হলে (3a+ 2b) : (5a-2b) = 3 : 1 [T]
- 4 ও 16 -এর মধ্য সমানুপাতী হল 8 [F]
- a : b = 3 : 2 এবং b : c = 3 : 2 হলে (a + b) : (b + c) = 2 : 3 [F]
- ab:c2bc:a2 এবং ca:b2 -এর যৌগিক অনুপাত 1 : 1 [T]
- x3y এবং x2y2 ক্রমিক সমানুপাতী [T]
সংক্ষিপ্ত উত্তরভিত্তিক প্রশ্নোত্তর : (মান – 2) Madhyamik Mathematics Suggestion – অনুপাত ও সমানুপাত (অধ্যায়-৫) প্রশ্নউত্তর – মাধ্যমিক অঙ্ক / গণিত সাজেশন
- a : b = 8 : 7 হলে, দেখাই যে (7a−3b):(11a−9b)=7:5
Ans. a : b = 8 : 7
মনেকরি, a = 8k, b = 7k যেখানে k অশূন্য বাস্তব সংখ্যা।
বামপক্ষ = (7a – 3b) : (11a – 9b)
=(7×8k−3×7k):(11×8k−9×7k)
=(56k−21k):(88k−63k)
= 35k : 25k = 7 : 5 = ডানপক্ষ (প্রমাণিত)
- সাম্যানুপাত কাকে বলে ?
Ans. কোনো অনুপাতের পূর্বপদ ও উত্তরপদ সমান হলে তাকে সাম্যানুপাত বলে। যেমন- 2 : 2
- 7 : 4 অনুপাতের উভয়পদের সঙ্গে কত যোগ করলে অনুপাতটি 6:5 হবে ?

- a : b = 8 : 7 হলে, দেখাই যে (7a−3b):(11a−9b) = 7 : 5
Ans. a : b = 8 : 7
মনেকরি, a = 8k, b = 7k যেখানে k অশূন্য বাস্তব সংখ্যা।
বামপক্ষ = (7a – 3b) : (11a – 9b)
=(7×8k−3×7k):(11×8k−9×7k)
=(56k−21k):(88k−63k)
= 35k : 25k = 7 : 5 = ডানপক্ষ (প্রমাণিত)


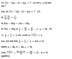
দীর্ঘ উত্তরভিত্তিক প্রশ্নোত্তর: (মান – 5) Madhyamik Mathematics Suggestion – অনুপাত ও সমানুপাত (অধ্যায়-৫) প্রশ্নউত্তর – মাধ্যমিক অঙ্ক / গণিত সাজেশন




No comments:
Post a Comment