একচল বিশিষ্ট দ্বিঘাত সমীকরণ (অধ্যায়-১) MCQ, সংক্ষিপ্ত, অতি সংক্ষিপ্ত এবং রচনাধর্মী প্রশ্ন উত্তর | Madhyamik Mathematics Suggestion – মাধ্যমিক অঙ্ক / গণিত সাজেশন
বহু বিকল্পভিত্তিক প্রশ্নোত্তর : (মান – 1) Madhyamik Mathematics Suggestion – একচল বিশিষ্ট দিঘাত সমীকরণ (অধ্যায়-১) প্রশ্নউত্তর – মাধ্যমিক অঙ্ক / গণিত সাজেশন
- x2−6x+2=0 সমীকরণের বীজদ্বয়ের সমষ্টি
(a) – 6 (b) 6 (c) -2 (d) 2
Ans. [b]
- একটি দ্বিঘাত সমীকরণের একটি বীজ 3+√2 হলে সমীকরণটি হয় –
(a)x2−6x+7=0
(b)x2+6x−7=0
(c)x2−6x−7=0
(d) কোনটিই নয়
Ans. [b]
- ax2+bx+c=0 দ্বিঘাত সমীকরণ হল
(a) a≠0 (b) b≠0 (c) c≠0 (d) কোনটিই নয়
Ans. [a]
- নীচের কোনটি দ্বিঘাত সমীকরণ নয় ?
(a) 2x−5×2=x2+3
(b)(x−1)2+(√x−1)2=0
(c)(x+1)2=2(x2−4)
(d)x+x−1=3
Ans. [b]
শূন্যস্থান পূরন করো : (মান – 1) Madhyamik Mathematics Suggestion – একচল বিশিষ্ট দিঘাত সমীকরণ (অধ্যায়-১) প্রশ্নউত্তর – মাধ্যমিক অঙ্ক / গণিত সাজেশন
- x2=6x সমীকরণের বীজদ্বয় হল ________এবং________।
Ans. 0,6
- 2×2+bx−24=0 সমীকরণের একটি বীজ 4 হলে, অপর বীজটি হবে________ ।
Ans. −3
- ax2+bx+c=0 দ্বিঘাতসমীকরণের একটি বীজ সর্বদা শূন্য হওয়ার শর্ত ________ ।
Ans. c=0;a,b≠0
- ax2+bx+c=0 দ্বিঘাত সমীকরণের বীজদ্বয়ের একটি অপরটির অন্যোন্যক হওয়ার শর্ত হল________।
Ans. ca=1
- 3×2+5x+k=0 সমীকরণের বীজদ্বয়ের অনুপাত 2:3 হলে, k = ________ ।
Ans. 2
- x2x=6 সমীকরণটির বীজদ্বয় হল ________ ।
Ans. 6, 0
- (k−2)x2+(k−4)x+2k−8=0 সমীকরণের উভয় বীজ শূন্য হলে, k = ________.
Ans. 4
8.যদি ax2+bx+c=0 সমীকরণটির a≠0 হয়, তবে সমীকরণটি হবে সমীকরণ একটি ________ সমীকরণ।
Ans. রৈখিক
- (x−3)(x−2)=x2−px+6 হলে, p-এর মান হবে ________ ।
Ans. 5
সত্য অথবা মিথ্যা নির্ণয় করো : (মান – 1) Madhyamik Mathematics Suggestion – একচল বিশিষ্ট দিঘাত সমীকরণ (অধ্যায়-১) প্রশ্নউত্তর – মাধ্যমিক অঙ্ক / গণিত সাজেশন
- ax2+bx+c=0 দ্বিঘাত সমীকরণের উভয় বীজই শূন্য হবে যখন b = c = 0। [T]
- x2−x+2=0 সমীকরণের বীজদ্বয় বাস্তব নয়। [T]
- (x−3)2=x2−6x+9 দ্বারা একটি দ্বিঘাত সমীকরণ সূচিত হয়। [F]
- x2+x+1=0 সমীকরণের বীজস্বয় বাস্তব। [F]
- x2=36 সমীকরণের বাস্তব বীজের সংখ্যা এক। [F]
সংক্ষিপ্ত উত্তরভিত্তিক প্রশ্নোত্তর : (মান – 2) Madhyamik Mathematics Suggestion – একচল বিশিষ্ট দিঘাত সমীকরণ (অধ্যায়-১) প্রশ্নউত্তর – মাধ্যমিক অঙ্ক / গণিত সাজেশন
- (a−2)x2−5x+6=0 কোন মানের জন্য দ্বিঘাত হবে না ?
Ans. প্রদত্ত সমীকরণটি দ্বিঘাত হবে না a – 2 = 0 হয়, অর্থাৎ a = 2 হয় ।
- ax2+bx+c=0 সমীকরণের একটি বীজ অপরটির দ্বিগুণ হলে দেখাও যে 2b2=9ac
- শ্রীধর আচার্যের সূত্রের সাহায্যে x2−3x+2=0 -এর সমাধান নির্ণয় করো ।
- (b−c)x2+(c−a)x+(a−b)=0 দ্বিঘাত সমীকরণের বীজদ্বয় সমান হলে দেখাও যে 2b = a + c.
- k-এর মান কত হলে 5×2−2x+k=0 এর একটি সমাধান 1 হৰে ?
Ans. 5×2−2x+k=0-এর একটি সমাধান x = 1
∴ x= 1 দ্বারা সমীকরণটি সিদ্ধ হবে।
∴ 5×12−2×1+k=0
বা,5 – 2 + k = 0 বা, k = -3
- x2−px+q=0সমীকরণের বীজদ্বয় α ও β এবং α−β = 1 হলে দেখাও যে p2=1+4q
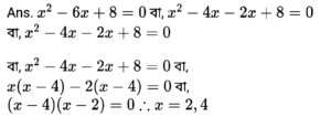
- দেখাও x2−6x+8=0 সমীকরণের একটি বীজ অপরটির বর্গ ।
- (2−x)2=x2−4x+4 সম্পর্কটি অভেদ না সমীকরণ তা বলো।
Ans. সম্পর্কটি x-এর 2টির বেশি মান (আসলে Y-এর সকল বাস্তবমান) দ্বারা সিদ্ধ হয়, তাই ইহা একটি অভেদ। [ সম্পর্কটিতে x-এর সর্বোচ্চ ঘাত 2 ]
- (a−2)x2−5x+6=0 সমীকরণটি চলের কোন ঘাতের জন্য দ্বিঘাত সমীকরণ হবে ?
Ans. a6−4×3−5=0 সমীকরণটিতে x-এর সর্বোচ্চ ঘাত 6 হওয়ায় এটি দ্বিঘাত নয় কিন্তু প্রদত্ত সমীকরণটিকে
(a3)2−4×3−5=0
আকারে লেখা হলে, এটি χ3 এই চলের সাপেক্ষে দ্বিঘাত হবে ।
দীর্ঘ উত্তরভিত্তিক প্রশ্নোত্তর: (মান – 5) Madhyamik Mathematics Suggestion – একচল বিশিষ্ট দিঘাত সমীকরণ (অধ্যায়-১) প্রশ্নউত্তর – মাধ্যমিক অঙ্ক / গণিত সাজেশন
- দুই অঙ্কের একটি সংখ্যা দশকের ঘরের অঙ্ক অপেক্ষা 3 কম। সংখ্যা থেকে উহার অঙ্ক দুটির গুণফল বিয়োগ করলে বিয়োগফল 15 হয়। সংখ্যাটির একক ঘরের অঙ্ক হিসাব করে লিখি।
- ax2+bx+c=0 সমীকরণের বীজদ্বয়ের অনুপাত r :1 হলে দেখাও , যে b2r=ac(r+1)2
- একটি দ্বিঘাত সমীকরণের বীজদ্বয়ের সমষ্টি 10 এবং বীজদ্বয়ের বর্গের সমষ্টি 52 হলে, দ্বিঘাত সমীকরণটি নির্ণয় করো।








No comments:
Post a Comment